Упр.510 ГДЗ Атанасян 10-11 класс по геометрии (Геометрия)
Решение #1
Решение #2

Рассмотрим вариант решения задания из учебника Атанасян, Бутузов 11 класс, Просвещение:
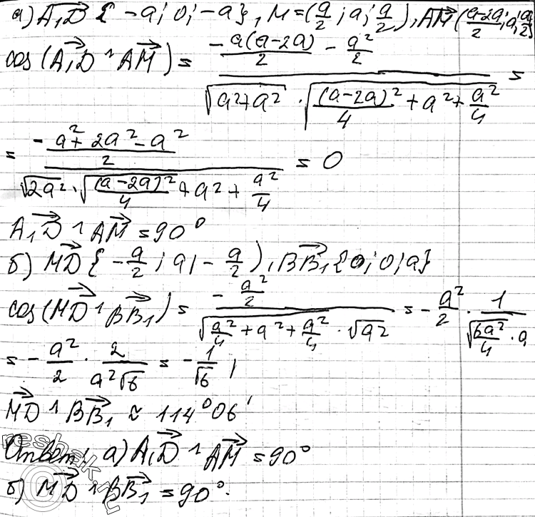
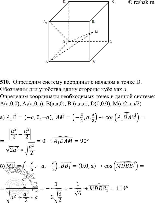
510 B кубе ABCDA1B1C1D1 точка M — центр грани BB1C1C. Вычислите
угол между векторами: а) A1D и AM; б) MD и BB1.
*размещая тексты в комментариях ниже, вы автоматически соглашаетесь с пользовательским соглашением