Упр.187 ГДЗ Никольский Потапов 7 класс (Алгебра)
Решение #1

Рассмотрим вариант решения задания из учебника Никольский, Потапов 7 класс, Просвещение:
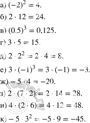
187 Запишите:
а) квадрат числа -2;
б) удвоенное число 12;
в) куб числа 0,5;
г) утроенное число 5;
д) удвоенный квадрат числа 2;
е) утроенный куб числа -1;
ж) произведение чисел -5 и 4;
з) удвоенное произведение чисел 7 и 2;
и) произведение числа 4 и удвоенного числа 6;
к) произведение числа -5 и квадрата числа 3.
*размещая тексты в комментариях ниже, вы автоматически соглашаетесь с пользовательским соглашением