Упр.240 ГДЗ Никольский Потапов 7 класс (Алгебра)
Решение #1
Решение #2

Рассмотрим вариант решения задания из учебника Никольский, Потапов 7 класс, Просвещение:
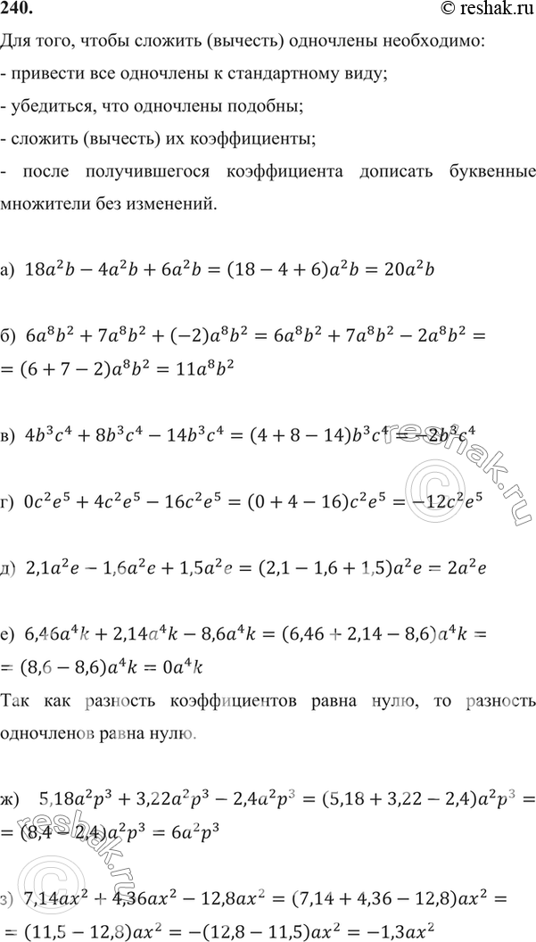
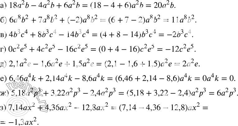
240 Приведите подобные члены:
а) 18а2b - 4а2b + 6а2b;
б) 6a8b2+7a8b2+(-2)a8b2;
в) 4b3с4 + 8b3с4 - 14b3с4;
г) 0c2e5+4c2e5-16c2e5;
д) 2,1а2е - 1,6а2е + 1,5а2е;
е) 6,46a4k+2,14a4k-8,6a2k;
ж) 5,18а2р3 + 3,22а2р3 - 2,4а2р3;
з) 7,14ах2 + 4,36ах2 - 12,8ах2.
*размещая тексты в комментариях ниже, вы автоматически соглашаетесь с пользовательским соглашением