Упр.251 ГДЗ Никольский Потапов 7 класс (Алгебра)
Решение #1
Решение #2

Рассмотрим вариант решения задания из учебника Никольский, Потапов 7 класс, Просвещение:
Упростите многочлен (251—253):
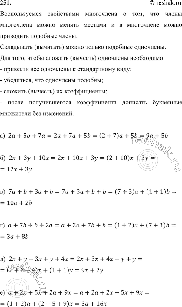
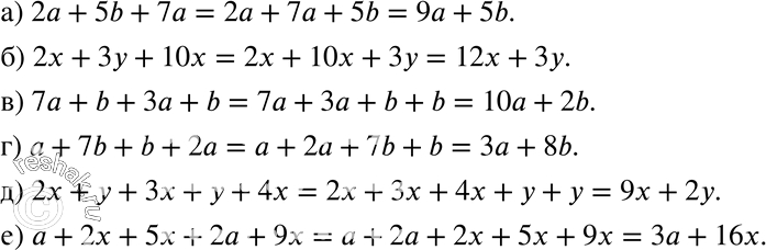
251. а) 2а + 5b + 7а;
б) 2x + За + 10x;
в) 7а + b + За + b;
г) а + 7b + b + 2а;
д) 2х + у + Зх + у + 4х;
е) а + 2x + 5x + 2а + 9x.
*размещая тексты в комментариях ниже, вы автоматически соглашаетесь с пользовательским соглашением