Упр.278 ГДЗ Никольский Потапов 7 класс (Алгебра)
Решение #1

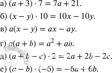
Рассмотрим вариант решения задания из учебника Никольский, Потапов 7 класс, Просвещение:
278. а) (а+ 3)7;
б) (х - у) 10;
в) а(х - у);
г) а (а + b);
д) (а + b - с) 2;
е) (а - b) (-6).
*размещая тексты в комментариях ниже, вы автоматически соглашаетесь с пользовательским соглашением