Упр.310 ГДЗ Никольский Потапов 7 класс (Алгебра)
Решение #1
Решение #2

Рассмотрим вариант решения задания из учебника Никольский, Потапов 7 класс, Просвещение:
310 Разложите на множители:
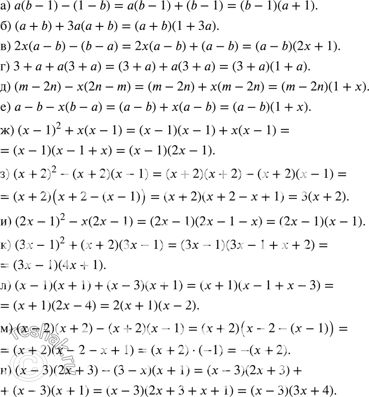
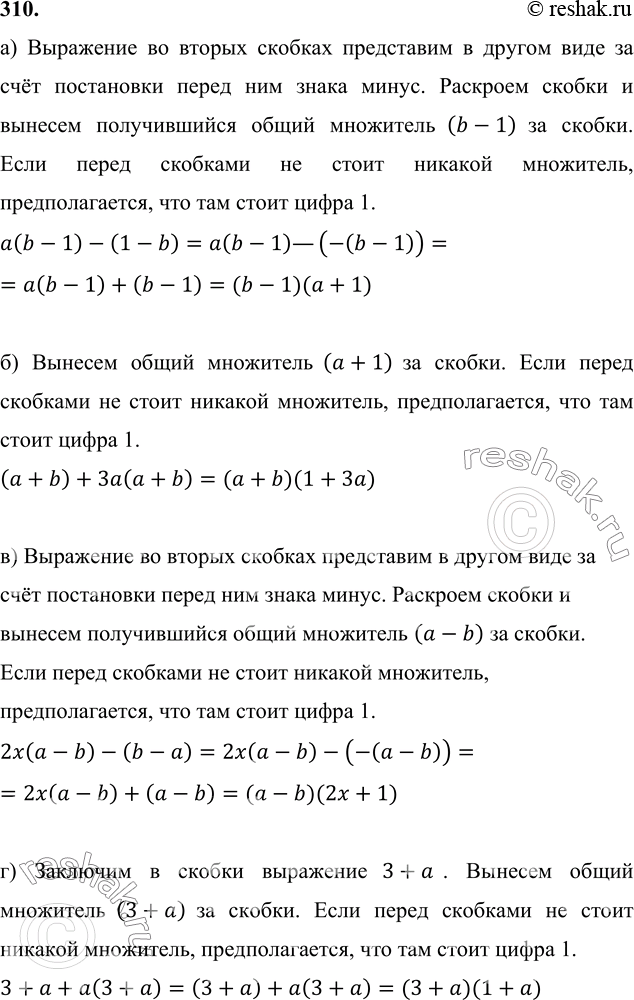
а) а(b - 1) - (1 - b);
б) (a+b) + За (а + b);
в) 2х(а - b) - (b - а);
г) 3 + а + а(3 + а);
д) (m — 2n) - х(2n - m);
е) а - b - х(b - а);
ж) (х - 1 )2 + x(х — 1);
з) (х + 2)2 - (х + 2)(х - 1);
и) (2х - 1)2 - x(2x -1);
к) (Зx - 1)2 + (x + 2) (Зx - 1);
л) (х - 1)(x + 1) + (x - 3)(x + 1);
м) (х - 2) (x + 2) - (х + 2)(x- 1);
н) (х- 3)(2x + 3) - (3 - x) (x + 1).
*размещая тексты в комментариях ниже, вы автоматически соглашаетесь с пользовательским соглашением