Упр.353 ГДЗ Никольский Потапов 7 класс (Алгебра)
Решение #1

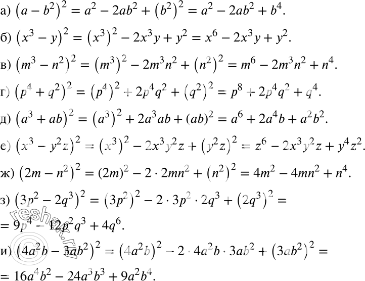
Рассмотрим вариант решения задания из учебника Никольский, Потапов 7 класс, Просвещение:
353 Используя формулу квадрата суммы или разности, преобразуйте выражение в многочлен стандартного вида:
а) (а - b2)2;
б) (х3 - у)2;
в) (m3 - n2)2;
г) (р4 + q2)2;
д) (а3 + ab)2;
е) (х3 - y2z)2;
ж) (2m - n2)2;
з) (3р2 - 2q3)2;
и) (4а2b - 3ab2)2.
*размещая тексты в комментариях ниже, вы автоматически соглашаетесь с пользовательским соглашением