Упр.457 ГДЗ Никольский Потапов 7 класс (Алгебра)
Решение #1

Рассмотрим вариант решения задания из учебника Никольский, Потапов 7 класс, Просвещение:
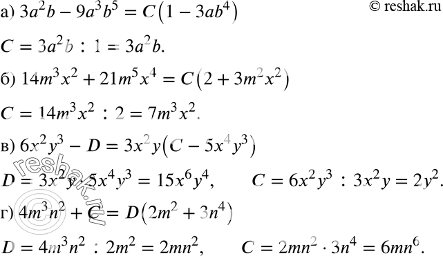
457. Вместо букв С и D подберите одночлены так, чтобы выполнялось равенство:
а) 3а2b - 9а3b5 = С(1 - 3аb4);
б) 14m3x2 + 21m5x4 = С(2 + 3 m2х2);
в) 6х2у3 - D = Зх2у(С - 5х4у3);
г) 4m3n2 + С = D(2m2 + Зn4).
*размещая тексты в комментариях ниже, вы автоматически соглашаетесь с пользовательским соглашением