Упр.461 ГДЗ Никольский Потапов 7 класс (Алгебра)
Решение #1

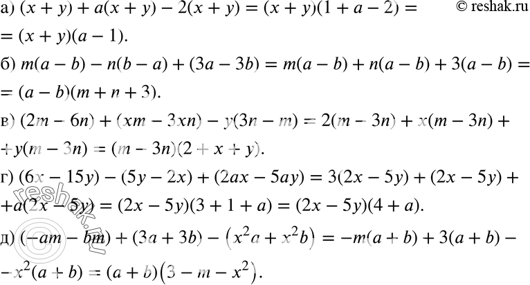
Рассмотрим вариант решения задания из учебника Никольский, Потапов 7 класс, Просвещение:
461. Вынесите за скобки общий множитель:
а) (х + у) + а(х + у) - 2(х + у) = (х + у)(...);
б) m(а - b) - n(b - а) + (За - 3b) = (а - b)(...);
в) (2m - 6n) + (хm - Зхn) - у(3n - m) = (m - Зn)(...);
г) (6x - 15у) - (5y - 2х) + (2ах - 5ay) = (2х - 5у)(...);
д) (-am - bm) + (3a + 3b) - (х2а + x2b) = (а + b)(...).
*размещая тексты в комментариях ниже, вы автоматически соглашаетесь с пользовательским соглашением