Упр.803 ГДЗ Никольский Потапов 7 класс (Алгебра)
Решение #1

Рассмотрим вариант решения задания из учебника Никольский, Потапов 7 класс, Просвещение:
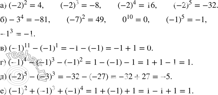
Вычислите (803—804):
803 а) (-2)2; (-2)3; (-2)4; (-2)5;
б) -З^4; (-7)2; 0^10; (-1)5; -1^3;
в) (-1)11 - (-1)11;
г) (-1)4 - (-1)3 - (-1)2;
д) (-2)5 - (-3)3;
е) (-1)2 + (-1)3 + (-1)4.
*размещая тексты в комментариях ниже, вы автоматически соглашаетесь с пользовательским соглашением