Упр.847 ГДЗ Никольский Потапов 7 класс (Алгебра)
Решение #1

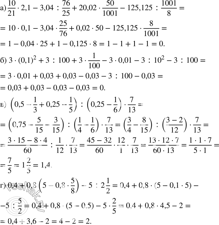
Рассмотрим вариант решения задания из учебника Никольский, Потапов 7 класс, Просвещение:
847 а) 10/21*2,1 - 3,04:76/25 + 20,02*50/1001 - 125,125:1001/8;
б) 3*(0,1)2 + 3:100 + 3*1/100 - 3*0,01- 3:10^2 - 3:100;
в) (0,5-1/3+0,25-1/5) : (0,25-1/6)*7/13;
г) 0,4+0,8(5-0,8*5/8)-5:2*1/2.
*размещая тексты в комментариях ниже, вы автоматически соглашаетесь с пользовательским соглашением